Beranda
/ Sederhanakanlah Bentuk Pecahan Berikut 7 + Akar 5 Per 7 Kurang Akar 5 - Bentuk Sederhana Dari Akar Matematika Dan Cara Mendapatkannya : Operasi aljabar dalam menyederhanakan bentuk akar pixabay.com.
Sederhanakanlah Bentuk Pecahan Berikut 7 + Akar 5 Per 7 Kurang Akar 5 - Bentuk Sederhana Dari Akar Matematika Dan Cara Mendapatkannya : Operasi aljabar dalam menyederhanakan bentuk akar pixabay.com.
Sederhanakanlah Bentuk Pecahan Berikut 7 + Akar 5 Per 7 Kurang Akar 5 - Bentuk Sederhana Dari Akar Matematika Dan Cara Mendapatkannya : Operasi aljabar dalam menyederhanakan bentuk akar pixabay.com.. 3 ½, 4 ½, 5 ¾. Mengubah bentuk pecahan ada beberapa langkah atau cara yang dapat kalian coba untuk mengubah bilangan pecahan biasa menjadi pecahan campuran, berikut penjelasannya: 6 5 /6 2 untuk pembagian dari pangkat yang sama variabelnya dan pangkatnya akan menghasilkan nilai 1, untuk lebih jelasnya lihat contoh soal di bawah ini. √75 = √25×3 = √25 x √3 = 5√3. M 11 /x 5 b.
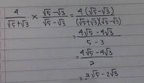
Syarat bentuk sederhana dari akar. Pada kesempatan kali ini, kita akan belajar mengenai cara mudah merasionalkan pecahan bentuk akar. Dalam artikel tentang pengertian rumus dan operasi hitung bentuk akar telah dijelaskan bahwa bentuk akar adalah akar dari bilangan rasional yang hasilnya adalah bilangan irasional. Dengan menggunakan sifat distributif, hasil kali kedua pasangan tersebut. 1 rasionalkan bentuk dibawah ini a.
Rasionalkanlah Akar 8 Akar 5 Per Akar 8 Akar 5 Brainly Co Id from id-static.z-dn.net Bentuk akar matematika sifat operasi hitung. Cara mudah penyederhanaan bentuk akar. Bilangan berpangkat dan bentuk akar. 3 ½, 4 ½, 5 ¾. Contoh lainnya 2 3 adalah sekawan dari 2 3 dan 5 4 adalah sekawan dari 5 4. A1/m x a1/n = a1/m + 1/n = a n+m ↔ m √a x n √a = mn √an. 6 5 /6 2 untuk pembagian dari pangkat yang sama variabelnya dan pangkatnya akan menghasilkan nilai 1, untuk lebih jelasnya lihat contoh soal di bawah ini. Pada beberapa angka akar kuadrat yang besar, kamu bisa menyederhanakan lebih dari sekali.
Dalam artikel tentang pengertian rumus dan operasi hitung bentuk akar telah dijelaskan bahwa bentuk akar adalah akar dari bilangan rasional yang hasilnya adalah bilangan irasional.
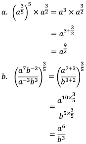
Tentukan faktorisasi prima dari bilangan 180 dengan menggunakan pohon faktor sebagai berikut. 5% = lima perseratus, 30% = tiga puluh perseratus, 75% = tujuh puluh lima perseratus. Beberapa contoh bilangan irasional di dalam bentuk akar yakni √2, √6, √7, √11 dan lain sebagainya. Mengubah bentuk pecahan ada beberapa langkah atau cara yang dapat kalian coba untuk mengubah bilangan pecahan biasa menjadi pecahan campuran, berikut penjelasannya: Mengubah pangkat pecahan negatif menjadi pangkat pecahan positif. Untuk bilangan a dan b tidak negative berlaku : Suatu bentuk akar dinamakan sederhana, jika bilangan di dalam tanda akar tidak mempunyai factor kuadrat sempurna. √75 = √25×3 = √25 x √3 = 5√3. Cara soal yg ini bagaimana? Cara merasionalkan setiap penyebut berlainan. Operasi aljabar dalam menyederhanakan bentuk akar pixabay.com. 1 8 1 3 ⎛ ⎝⎜ ⎞ ⎠⎟ c. √180 = √ (2 x 90) √180 = √ (2 x 2 x 45) √180 = 2√45, tetapi nilai ini masih bisa disederhanakan lebih lanjut.
Berikut ini adalah sepuluh angka kuadrat sempurna pertama. √180 = √ (2 x 90) √180 = √ (2 x 2 x 45) √180 = 2√45, tetapi nilai ini masih bisa disederhanakan lebih lanjut. Pecahan persen merupakan pecahan yang menggunakan lambang % yang berarti perseratus. 3 2 /3 2 b. Contohnya adalah √ 3, √ 5, √ 6, √ 7 dan sebagainya.
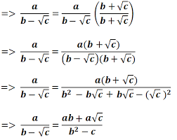
Akar 2 Tambah Akar 3 Tambah Akar 7 Akarkua from lh5.googleusercontent.com 2 akar 3 per 2 akar 3. Pecahan dalam bentuk a/(√a + √b) contoh: Sederhanakan semua akar yang mengandung bilangan pangkat tiga sempurna. Melakukan operasi aljabar pada bentuk akar. Tentunya kalian sudah mengetahui bahwa bentuk akar adalah akar dari bilangan rasional yang hasilnya adalah bilangan irasional. 1/ √ a ⇒ bukan bentuk sederhana 3. Simbol akar √ pertama kali diperkenalkan oleh seorang matematikawan asal jerman yang bernama christoff rudoff. Sederhanakan bentuk akar berikut !
Di sebuah desa di kabupaten larantuka, kupang ntt terdapat sebuah lapangan seukuran lapangan sepak bola 120 m.
Cara soal yg ini bagaimana? A n disebut bentuk aka 5% = lima perseratus, 30% = tiga puluh perseratus, 75% = tujuh puluh lima perseratus. Cara mengurangi pecahan campuran dengan mudah. Sederhanakan semua akar yang mengandung bilangan pangkat tiga sempurna. 3 ½, 4 ½, 5 ¾. √8 = √4 × √2 = √2 2 × √2 = 2√2 6 5 /6 2 untuk pembagian dari pangkat yang sama variabelnya dan pangkatnya akan menghasilkan nilai 1, untuk lebih jelasnya lihat contoh soal di bawah ini. 3 7 9 c a c. Dengan menggunakan sifat distributif, hasil kali kedua pasangan tersebut. √75 = √25×3 = √25 x √3 = 5√3. Bentuk akar matematika sifat operasi hitung. Tentunya kalian sudah mengetahui bahwa bentuk akar adalah akar dari bilangan rasional yang hasilnya adalah bilangan irasional.
Bilangan berpangkat dan bentuk akar sma mudah dipahami soal dan pembahasan. Merasionalkan penyebut pecahan yang berbentuk akar. Syarat bentuk sederhana dari akar. Tentukan faktorisasi prima dari bilangan 180 dengan menggunakan pohon faktor sebagai berikut. Dengan menggunakan sifat distributif, hasil kali kedua pasangan tersebut.
Kunci Jawaban Soal Matematika Bilangan Berpangkat Dan Akar Untuk Smp Di Tvri Selasa 21 Juli 2020 Tribun Manado from cdn-2.tstatic.net Aljabar dan bilangan etraining terstruktur pppptk matematika. Pada beberapa angka akar kuadrat yang besar, kamu bisa menyederhanakan lebih dari sekali. √ 10 /2 ⇒ bentuk sederhana (rasional). √ 5/2 ⇒ bukan bentuk sederhana. 3 7 9 c a c. √75 = √25×3 = √25 x √3 = 5√3. Syarat bentuk sederhana dari akar. Mengubah pangkat pecahan negatif menjadi pangkat pecahan positif.
A n disebut bentuk aka
Agar lebih mudah menyelesaikan soal diatas, mari kita ubah semua bilangan diatas ke dalam bentuk perpangkatan. √180 = √ (2 x 90) √180 = √ (2 x 2 x 45) √180 = 2√45, tetapi nilai ini masih bisa disederhanakan lebih lanjut. Penyebut yang berbentuk akar dari pecahan tersebut dapat diubah menjadi bilangan rasional. Contohnya adalah √ 3, √ 5, √ 6, √ 7 dan sebagainya. M 5 /m 5 jawab : Cara merasionalkan setiap penyebut berlainan. A n disebut bentuk aka Jika hal ini terjadi, kalikan bilangan bulat yang kamu dapatkan untuk mendapatkan jawaban akhirnya. √75 = √25×3 = √25 x √3 = 5√3. Untuk bilangan a dan b tidak negative berlaku : Akar kuadrat 8 per 9 unknown 20 januari 2015 18.58 gak terlalu jelas unknown 5 april 2015 22.47 Aljabar dan bilangan etraining terstruktur pppptk matematika. Apabila termasuk bentuk akar, berikan alasannya.
Berbagi
Posting Komentar
untuk "Sederhanakanlah Bentuk Pecahan Berikut 7 + Akar 5 Per 7 Kurang Akar 5 - Bentuk Sederhana Dari Akar Matematika Dan Cara Mendapatkannya : Operasi aljabar dalam menyederhanakan bentuk akar pixabay.com."
Posting Komentar untuk "Sederhanakanlah Bentuk Pecahan Berikut 7 + Akar 5 Per 7 Kurang Akar 5 - Bentuk Sederhana Dari Akar Matematika Dan Cara Mendapatkannya : Operasi aljabar dalam menyederhanakan bentuk akar pixabay.com."